Показатели в этих регионах составили 4,99% и по 5,01% соответственно.При этом самые высокие ставки по ипотеке в Чечне, Ингушетии и Самарской области – 14,36%, 13,4% и 12,25% соответственно.Подписаться на РИА...
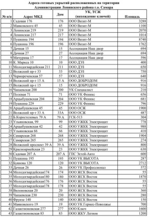
Адреса укрытий вы можете найти здесь. Ранее был опубликован список укрытий в Ленинском районе (смотрите фото). Скоро будут так же известны списки в других районах Самары.Жителям советуют заранее изучить адрес ближайшего укрытия, чтобы в случае тревоги...
Объект обслуживает 30% стоков трех районов города. СКС обеспечила водоотведение по резервной схеме, что позволило избежать неудобств для жителей. Работы, включая благоустройство у Аллеи Трудовой Славы, закончат к 1 мая. Как отметил глава Самары Иван...
Злоумышленники звонят несовершеннолетним, представляясь сотрудниками образовательного центра, и сообщают о переходе на новые электронные дневники. Чтобы зарегистрироваться, ребёнка просят продиктовать номер из СМС. После того как жертва называет...
С понедельника, 6 апреля, начинается Страстная седмица.Это время, когда Церковь призывает оставить в стороне все личные заботы и мелкие дела, чтобы смотреть только на Христа. Шаг за шагом мы следуем за Спасителем по Его последнему земному пути —...
В понедельник в городе запланированы работы по разным адресам. Об этом сообщили в РКС-Самара. В связи с этим в некоторых домах возможно временное отключение холодной воды: ул. Пятигорская, 8 (предположительно без отключения абонентов от ХВС....
В городе подходит к концу замена аварийного участка Главного Безымянского коллектора на улице Юных пионеров. Об этом сообщил Глава города Иван Носков в своем Мах-канале.Протяжённость обновляемой зоны — 120 метров, ремонт идёт «от колодца...
В Самаре будут судить членов ОПГ, незаконно выдававших мигрантам права на вождениеЖителя Ульяновска обвиняют в публичном оправдании терроризмаВ Оренбуржье вынесли приговор лидеру ОПГ и его соучастнику по делу о серии убийствМагомед Адиев...
Согласно свежим данным геомагнитной активности, предстоящая неделя принесет жителям региона как спокойные дни, так и периоды сильных возмущений магнитосферы.В понедельник, 6 апреля, с утра и до середины дня ожидается малая магнитная буря...
Продолжаем подводить итоги минувшей недели!10 специальных репортажей ГТРК "Самара" из цикла "Эстафета Победы" были показаны в эфире и адаптированы для пользователей социальных сетей, объединив несколько поколений зрителей и читателей. Каждый телесюжет...
Уважаемые коллеги!Руководство Главного управления Министерства внутренних дел Российской Федерации по Самарской области поздравляет руководителей, личный состав и ветеранов с профессиональным праздником - Днем работника...
Доброе утро, друзья!За окном солнышко, но прогноз твердит нам - точно нужно взять с собой зонтик. Сегодня ожидается переменная облачность, небольшой, местами умеренный дождь, гроза. Ветер 8-13 м/с, местами порывы 15-20 м/С. Температура воздуха - в...
Погода резко меняется. В начале рабочей недели синоптики обещают дожди, грозы, сильный ветер и похолодание.Понедельник, 6 апреля: облачно, небольшой дождь. Ветер западный, 8–13 м/с. Температура +10…+12 °C.Вторник, 7 апреля: облачно с прояснениями...
Доброе утро! 6 апреля температура воздуха прогреется до +9...+14°CСиноптики прогнозируют облачную погоду. Небольшой, местами умеренный дождь, гроза. Ветер западный, 8...13 м/с. Местами порывы 15...20 м/с. ГТРК Самара MAX lВК lОК lСАЙТ
Но о ком мы точно должны позаботиться, так это дети. Детское автокресло необходимо вашему ребенку до 7, а то и до 12 лет, если ростом он ниже 150 см. При столкновении «лоб в лоб» устройства безопасности повышают шансы ребенка выжить в 2,5 раза...
4 апреля в 13:50 мужчина на Mitsubishi Lancer ехал по трассе «Николаевка – Черновский – Белозерки» в сторону поселка Рамушки и на 8,3 километре врезался в металлическое ограждение.В аварии пострадала пассажирка 1937 года рождения.ГУ МВД России...
Спорт без границ!4 апреля в Тольятти впервые прошёл фестиваль для ветеранов боевых действий и их семей «Спорт без границ» — первый этап проекта «Волжские игры», который инициировал Иван Сагин. В соревнованиях участвовали команды со...
В ближайшие 2–4 часа в Тольятти ожидается температура от +8C до +7C, пасмурно, без осадков. Ветер югозападный, 3–4 м/с.Завтрашний день также пройдёт при пасмурной погоде без осадков, с температурой от +7C до +8C. Ветер останется югозападным, 3–4...