Список укрытий на случай ракетной опасности в Октябрьском районе Самары
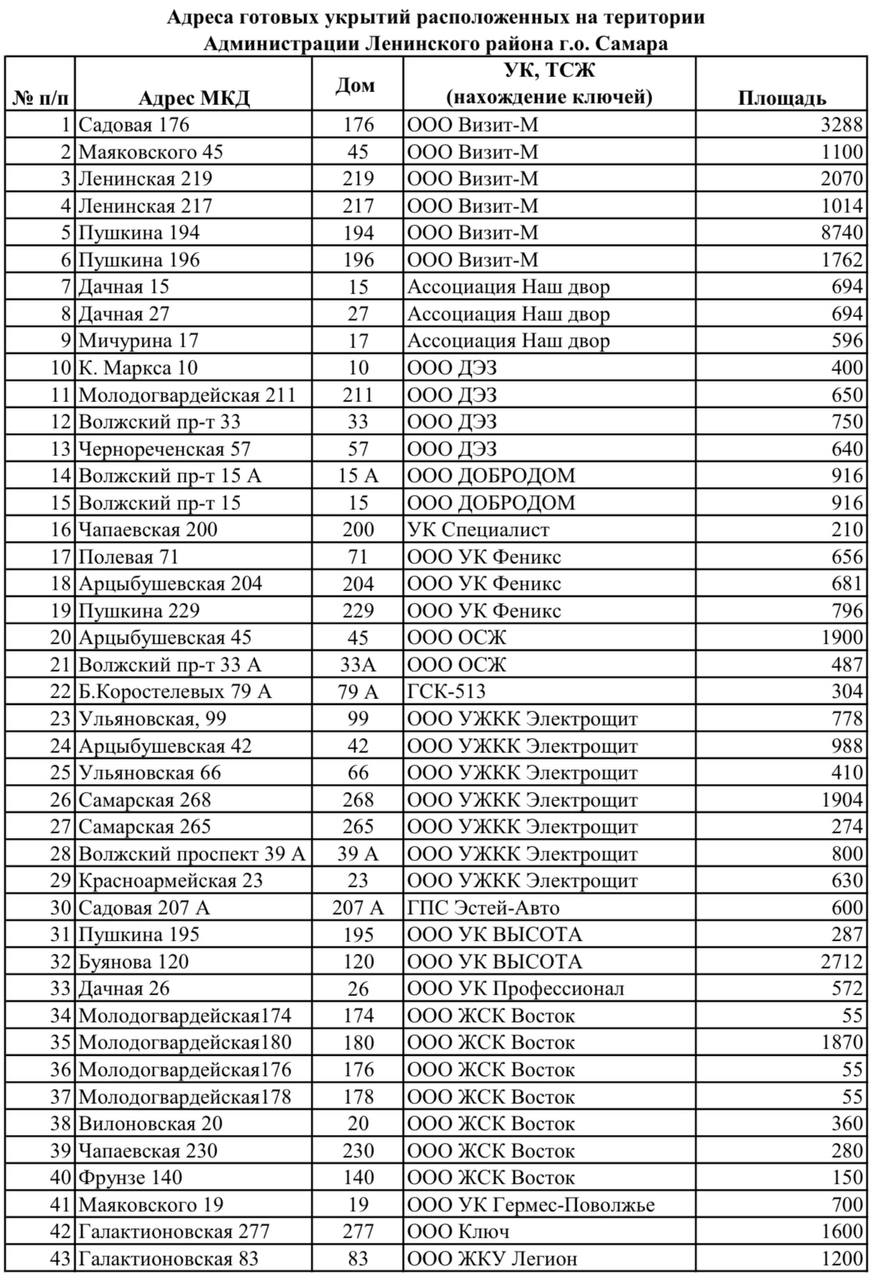
Адреса укрытий вы можете найти здесь. Ранее был опубликован список укрытий в Ленинском районе (смотрите фото). Скоро будут так же известны списки в других районах Самары.
Жителям советуют заранее изучить адрес ближайшего укрытия, чтобы в случае тревоги не терять время.










































